您的當前位置:網站首頁 > 新聞中心 > 行業新聞 > 怎樣選擇設計雷蒙磨的主要參數?
發布時間:2013-07-26 14:44:07
更新時間:2021-07-06 14:44:07
作者:小琪
歡迎
在線咨詢
獲取報價清單及產品資料,賺錢從這里開始、期待您的來廠參觀!
1 雷蒙磨設備圖 2 廠家直銷
雷蒙磨具有性能穩定、能耗低、產品細度可調、操作方便等優點,因此在煤炭、化工、選礦、化學等行業中應用廣泛。
雷蒙磨的主要參數選擇是否合適,關系著雷蒙磨的工作效率與經濟效益,因此要合理選擇設計它的主要參數。下文對其主要參數的選擇設計方法作一介紹。

雷蒙磨的最大給料粒度可根據下圖計算。設磨環內直徑為D,磨輥直徑為d,給料粒度為X0,鉗角為α,物料與磨環、磨輥之間的摩擦系數為f。
.jpg)
根據上圖可知,
,
根據此式可得:
,摩擦角:Φ=arctanf。
與其他粉碎機械一樣,磨環和磨輥要把物料夾住,必須滿足:α≤2Φ。摩擦角與物料的種類、物料的粒度有關,不同的研究者試驗確定的數值波動較大。
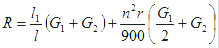
當梅花架帶動懸軸磨輥運動時,作用于磨輥上的力有:磨輥柄部的重力G1,離心力(G1/g)rw2,輥子的重力G2,離心力(G2/g)rw2,磨環的支反力R和鉸鏈支反力F。很據平衡條件可得磨環的支反力,即粉碎力R(N):
,式中G1、G2是磨輥柄部和輥子的重力(N),l1是磨輥自轉中心與擺動中心的距離(m),l是磨輥的公轉半徑(m),n是主軸轉速(r/min)。
雷蒙磨磨輥上的受力不一定均勻分布,設定壓力F,轉矩為Md,雷蒙磨的轉速為nk,磨輥數目為Z,機械效率為η,則雷蒙磨的傳動功率N為:。功耗與被粉碎物性質、產品細度、處理量有很大的關系,一般單位功耗在7~85kW·h/t。
廠家地址:中國鄭州高新技術開發區檀香路8號,咨詢電話:0371-67772626
上一篇:圓錐破碎機的動力學計算
![]()
![]()
在線留言想了解價格?產量?型號?售后?請留言,我們第一時間為您回復